★
欢迎访问临沂职业技能培训行业协会,我们将竭诚为您服务!
职业技能培训平台
职业技能考试平台
职业技能证书查询
网站首页
协会介绍
协会简介
协会章程
协会宗旨
业务范围
工作动态
通知公告
政策法规
人才测评
证书查询
聚焦行业
聚焦行业
学术交流
公益扶贫
职业培训
会员单位
会员展示
申请入会
会员须知
联系我们
即时新闻
我国社会组织发展十年回顾
第十五届“劳动之星”全媒体运营师职业 技能竞赛媒体座谈会圆满举行
点滴捐赠筑大爱,无私奉献显担当--协会为爱心学校和个人颁发捐赠荣誉证书
走进兰山商城暨临沂市第十五届劳动之星全媒体运营师推进会
协会参加"红色沂蒙·诚信经营·共促消费公平"315主题活动
淄博市人力资源和社会保障局蔡主任一行莅临调研交流
我会被确定为消费维权服务站
临沂市职业技能培训行业协会致全市职业教育教师的慰问信
您现在位置:
临沂职业技能培训行业协会
>>
通知公告
>> 浏览文章
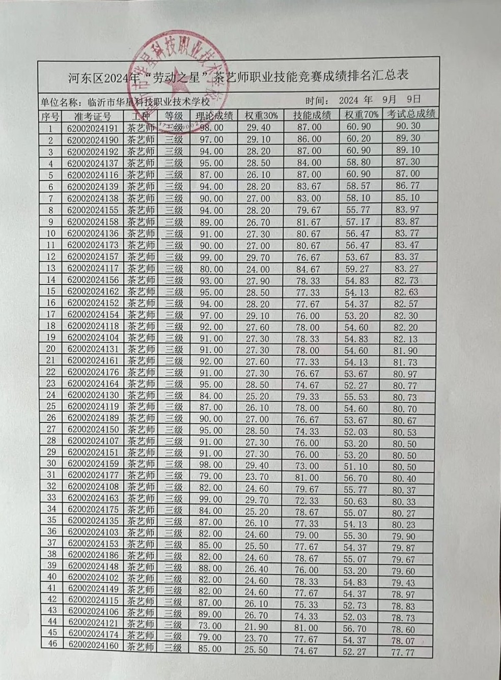
河东区2024年“劳动之星”茶艺师职业技能竞赛成绩公示
发布时间:2024-9-18 9:59:06 来源:不详 浏览次数:
0
下一条:
2024年临沂市企业技能人才自主评价拟备案单位公示(第四批)
上一条:
临沂市第十七届“劳动之星”全媒体运营师职业技能竞赛成绩公示
协会介绍
|
职业技能培训平台
|
职业技能考试平台
|
职业技能证书查询
|
联系我们
版权所有:临沂市职业技能培训行业协会 电话:0539-8022107
政策指导:临沂市人力资源和社会保障局协会地址:山东省临沂市河东区紫昇街与温泉路交汇处
COPYRIGHT ©
www.lyzyjnpx.org.cn
All Rights Reserved.
版权所有
鲁ICP备2021030224号-2